京公网安备 11010802034615号
经营许可证编号:京B2-20210330
用于计算损失的函数称为损失函数。模型每一次预测的好坏用损失函数来度量。机器通过损失函数进行学习,如果预测值与实际结果偏离较远,损失函数会得到一个非常大的值。
损失函数通常由经验风险和正则化项组成:
损失函数通常由以下几种:
平方损失函数
平方损失函数常用在最小二乘法中。它的思想是使得各个训练点到最优拟合线的距离最小(平方和最小)。平方损失函数定义如下:
对数损失函数
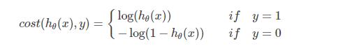
对于逻辑回归
逻辑回归,标签y=0y=0或y=1y=1.那么代价函数
综合起来,可以得到
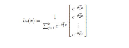
这只是二分类的情况,如果是多分类,则用到Softmax,,假设有k类,对应每个类别的概率分别为:
那么损失函数为
Hinge损失函数
SVM分类器中,常常使用hinge loss函数,用来最大化“分类间隔”。加上正确类别为yy,分类间隔最小为mm,那么
其中WyXWyX为正确类别的得分,即正确类别的得分,最少要比错误类别大mm,否则Loss就不为零。
数据分析咨询请扫描二维码
若不方便扫码,搜微信号:CDAshujufenxi
在Python开发中,HTTP请求是与外部服务交互的核心场景——调用第三方API、对接微服务、爬取数据等都离不开它。虽然requests库已 ...
2025-12-12在数据驱动决策中,“数据波动大不大”是高频问题——零售店长关心日销售额是否稳定,工厂管理者关注产品尺寸偏差是否可控,基金 ...
2025-12-12在CDA(Certified Data Analyst)数据分析师的能力矩阵中,数据查询语言(SQL)是贯穿工作全流程的“核心工具”。无论是从数据库 ...
2025-12-12很多小伙伴都在问CDA考试的问题,以下是结合 2025 年最新政策与行业动态更新的 CDA 数据分析师认证考试 Q&A,覆盖考试内容、报考 ...
2025-12-11在Excel数据可视化中,柱形图因直观展示数据差异的优势被广泛使用,而背景色设置绝非简单的“换颜色”——合理的背景色能突出核 ...
2025-12-11在科研实验、商业分析或医学研究中,我们常需要判断“两组数据的差异是真实存在,还是偶然波动”——比如“新降压药的效果是否优 ...
2025-12-11在CDA(Certified Data Analyst)数据分析师的工作体系中,数据库就像“数据仓库的核心骨架”——所有业务数据的存储、组织与提 ...
2025-12-11在神经网络模型搭建中,“最后一层是否添加激活函数”是新手常困惑的关键问题——有人照搬中间层的ReLU激活,导致回归任务输出异 ...
2025-12-05在机器学习落地过程中,“模型准确率高但不可解释”“面对数据噪声就失效”是两大核心痛点——金融风控模型若无法解释决策依据, ...
2025-12-05在CDA(Certified Data Analyst)数据分析师的能力模型中,“指标计算”是基础技能,而“指标体系搭建”则是区分新手与资深分析 ...
2025-12-05在回归分析的结果解读中,R方(决定系数)是衡量模型拟合效果的核心指标——它代表因变量的变异中能被自变量解释的比例,取值通 ...
2025-12-04在城市规划、物流配送、文旅分析等场景中,经纬度热力图是解读空间数据的核心工具——它能将零散的GPS坐标(如外卖订单地址、景 ...
2025-12-04在CDA(Certified Data Analyst)数据分析师的指标体系中,“通用指标”与“场景指标”并非相互割裂的两个部分,而是支撑业务分 ...
2025-12-04每到“双十一”,电商平台的销售额会迎来爆发式增长;每逢冬季,北方的天然气消耗量会显著上升;每月的10号左右,工资发放会带动 ...
2025-12-03随着数字化转型的深入,企业面临的数据量呈指数级增长——电商的用户行为日志、物联网的传感器数据、社交平台的图文视频等,这些 ...
2025-12-03在CDA(Certified Data Analyst)数据分析师的工作体系中,“指标”是贯穿始终的核心载体——从“销售额环比增长15%”的业务结论 ...
2025-12-03在神经网络训练中,损失函数的数值变化常被视为模型训练效果的“核心仪表盘”——初学者盯着屏幕上不断下降的损失值满心欢喜,却 ...
2025-12-02在CDA(Certified Data Analyst)数据分析师的日常工作中,“用部分数据推断整体情况”是高频需求——从10万条订单样本中判断全 ...
2025-12-02在数据预处理的纲量统一环节,标准化是消除量纲影响的核心手段——它将不同量级的特征(如“用户年龄”“消费金额”)转化为同一 ...
2025-12-02在数据驱动决策成为企业核心竞争力的今天,A/B测试已从“可选优化工具”升级为“必选验证体系”。它通过控制变量法构建“平行实 ...
2025-12-01